• Предмет: Алгебра
  • Автор: jedai1
  • Вопрос задан 8 лет назад

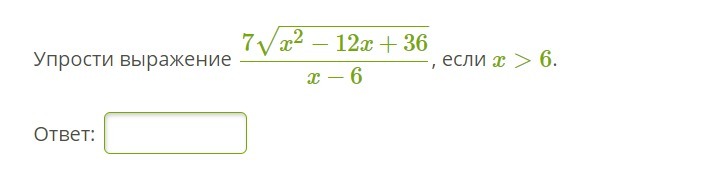
Что то сложно! Помогите!

Приложения:

Ответы

Ответ дал: Nina1952
0
Смотри ))))))))))))))))))))))))))
Приложения:
Вас заинтересует