Ответы
Ответ дал:
0
Последний добавлю потом
Приложения:


Ответ дал:
0
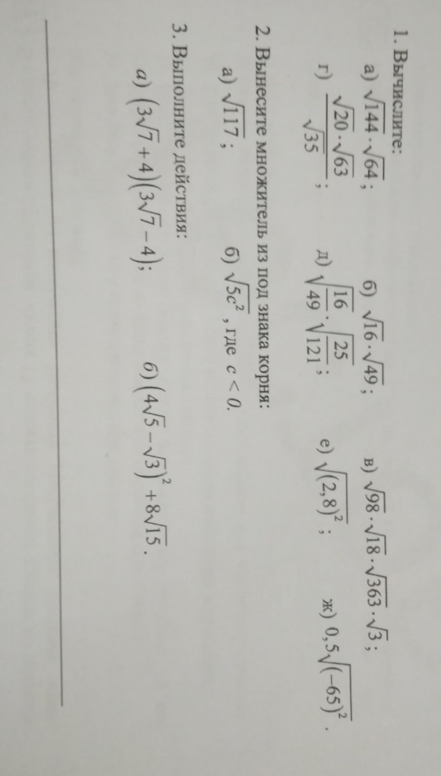
Б - 83-8 корень из 15 + 8 корень из 15. Ответ 83
Ответ дал:
0
И я там описалась, не 6,5, а 65, ну, думаю, это и так понятно
Ответ дал:
0
спасибо
Ответ дал:
0
и корень из 49 это 7. Сорян, я когда быстро пишу часто так ложаю
Ответ дал:
0
ничего, спасибо
Вас заинтересует
2 года назад
3 года назад
3 года назад
9 лет назад
9 лет назад