Ответы
Ответ дал:
0
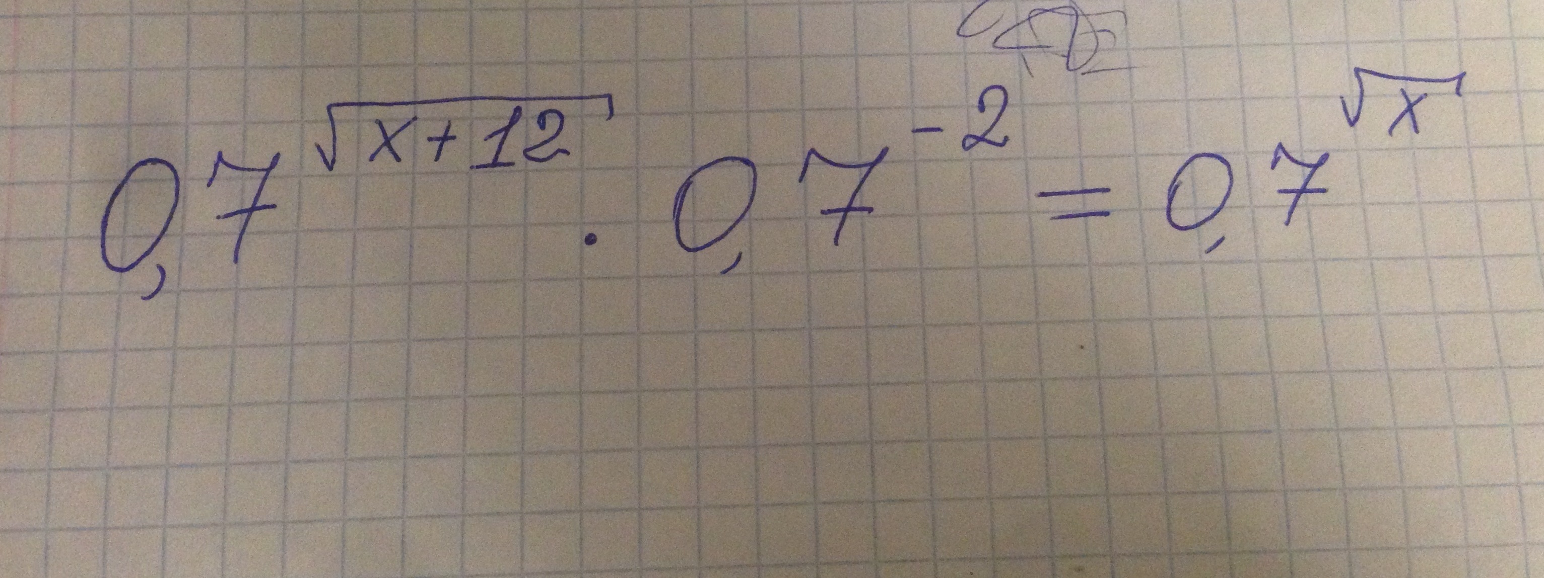
0.7√x+12×0.7^-2=0.7√x;
0.7√x+12-2=0.7√x;
√x+12-2=√x;
√x+12=√x+2;
x+12=x+4√x+4;
12=4√x=+4;
-4√x=4-12;
-4√x=-8;
√x=2!
x=4
0.7√x+12-2=0.7√x;
√x+12-2=√x;
√x+12=√x+2;
x+12=x+4√x+4;
12=4√x=+4;
-4√x=4-12;
-4√x=-8;
√x=2!
x=4
Вас заинтересует
2 года назад
2 года назад
3 года назад
3 года назад
9 лет назад
9 лет назад