• Предмет: Алгебра
  • Автор: Shletsberg
  • Вопрос задан 8 лет назад

Помогите решить задание пожалуйста, с подробным решением)

Приложения:

Ответы

Ответ дал: HSS9860
0

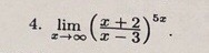
Посмотрите предложенный вариант. Использовалось подведение под Второй замечательный предел.

Приложения:
Вас заинтересует