• Предмет: Математика
  • Автор: лера2300
  • Вопрос задан 8 лет назад

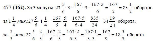
помогите решить задачу

Приложения:

Ответы

Ответ дал: ksushaselesnevaaa
0

Ответ:


Пошаговое объяснение:


Приложения:
Вас заинтересует