• Предмет: Алгебра
  • Автор: oxrip56
  • Вопрос задан 8 лет назад

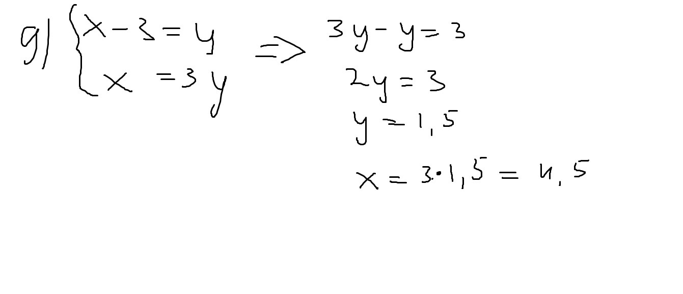
срочно 8,9 задание 30 баллооооов

Приложения:

Ответы

Ответ дал: FelixVlad
0

Вот решение 8-го и 9-го задания

Приложения:
Вас заинтересует