Ответы
Ответ дал:
0
2. а)5/6-7/9=15/18-14/18=1/18;
б)23/4*12=23*3=69;
в)(2,6-0,2):3/8=24/10*8/3=64/10=32/5;
4)((-0,6-2,4)/(-0,6))*(-2,4)=0,5*(-2,4)=-1,2;
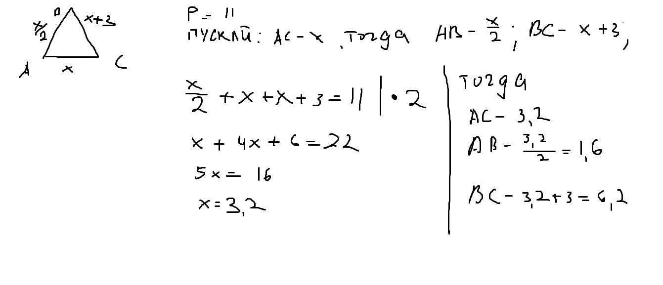
5)
Приложения:

Вас заинтересует
3 года назад
3 года назад
9 лет назад
9 лет назад