• Предмет: Алгебра
  • Автор: Кариночка78
  • Вопрос задан 8 лет назад

Помогите, пожалуйста, найти производные.

Приложения:

Ответы

Ответ дал: Artem112
0

Производная частного:

left(dfrac{u}{v}right)'=dfrac{u'v-uv'}{v^2}


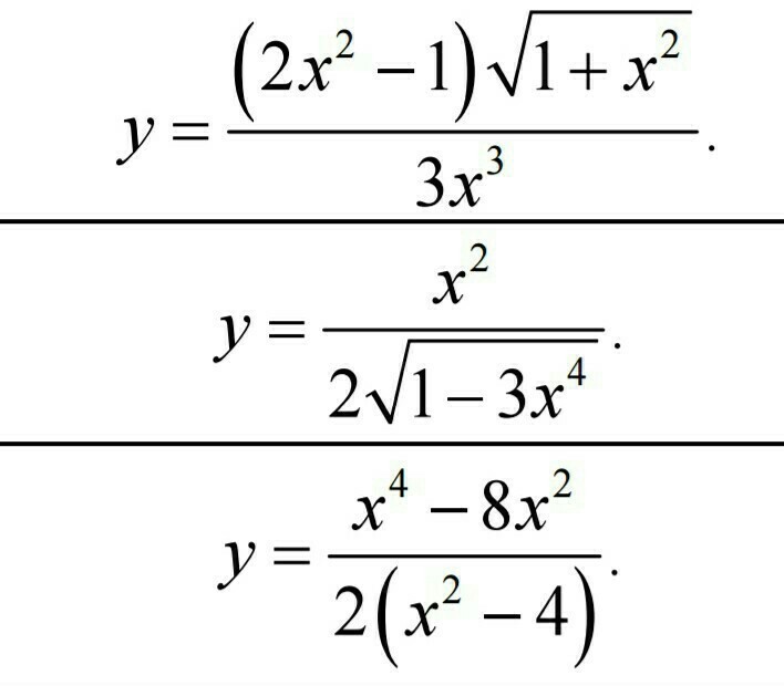
1.

y=dfrac{(2x^2-1)sqrt{1+x^2}}{3x^3}

y'=dfrac{((2x^2-1)sqrt{1+x^2})'cdot3x^3-(2x^2-1)sqrt{1+x^2}cdot(3x^3)'}{(3x^3)^2}=\\=dfrac{((2x^2-1)'sqrt{1+x^2}+(2x^2-1)(sqrt{1+x^2})')cdot3x^3-(2x^2-1)sqrt{1+x^2}cdot9x^2}{9x^6}=\=dfrac{(4xsqrt{1+x^2}+(2x^2-1)cdotfrac{1}{2sqrt{1+x^2}}cdot (1+x^2)')cdot x-(6x^2-3)sqrt{1+x^2}}{3x^4}=\=dfrac{(4xsqrt{1+x^2}+(2x^2-1)cdotfrac{1}{2sqrt{1+x^2}}cdot 2x)cdot x-(6x^2-3)sqrt{1+x^2}}{3x^4}=\

=dfrac{(4x+frac{2x^3-x}{1+x^2})cdot x-(6x^2-3)}{3x^4}sqrt{1+x^2}=\\=dfrac{(frac{4x+4x^3+2x^3-x}{1+x^2})cdot x-(6x^2-3)}{3x^4}sqrt{1+x^2}=\\=dfrac{frac{6x^4+3x^2}{1+x^2}-(6x^2-3)}{3x^4}sqrt{1+x^2}=\\=dfrac{6x^4+3x^2-(6x^2-3)(1+x^2)}{3x^4(1+x^2)}sqrt{1+x^2}=\\=dfrac{6x^4+3x^2-6x^2-6x^4+3+3x^2}{3x^4(1+x^2)}sqrt{1+x^2}=\\=dfrac{3}{3x^4(1+x^2)}sqrt{1+x^2}=dfrac{sqrt{1+x^2}}{x^4(1+x^2)}=dfrac{1}{x^4sqrt{1+x^2}}


2.

y=dfrac{x^2}{2sqrt{1-3x^4}}

y'=dfrac{(x^2)'cdot2sqrt{1-3x^4}-x^2cdot(2sqrt{1-3x^4})'}{(2sqrt{1-3x^4})^2}=\\=dfrac{2xcdot2sqrt{1-3x^4}-x^2cdotdfrac{2}{2sqrt{1-3x^4}} cdot(1-3x^4)'}{4(1-3x^4)}=\\=dfrac{4xsqrt{1-3x^4}-dfrac{x^2}{sqrt{1-3x^4}}cdot(-12x^3)}{4(1-3x^4)}=

=dfrac{4xsqrt{1-3x^4}+dfrac{12x^5}{sqrt{1-3x^4}}}{4(1-3x^4)}=dfrac{xsqrt{1-3x^4}+dfrac{3x^5}{sqrt{1-3x^4}}}{1-3x^4}=\\=dfrac{x(1-3x^4)+3x^5}{(1-3x^4)sqrt{1-3x^4}}=dfrac{x-3x^5+3x^5}{(1-3x^4)sqrt{1-3x^4}}=dfrac{x}{(1-3x^4)^{frac{3}{2}}}


3.

y=dfrac{x^4-8x^2}{2(x^2-4)}

y'=dfrac{(x^4-8x^2)'cdot2(x^2-4)-(x^4-8x^2)cdot(2(x^2-4))'}{(2(x^2-4))^2} =\\=dfrac{(4x^3-16x)cdot2(x^2-4)-(x^4-8x^2)cdot 2cdot2x}{4(x^2-4)^2}=\\=dfrac{8(x^3-4x)(x^2-4)-4x(x^4-8x^2)}{4(x^2-4)^2}=dfrac{2(x^3-4x)(x^2-4)-x(x^4-8x^2)}{(x^2-4)^2}=\\=dfrac{2x^5-8x^3-8x^3+32x-x^5+8x^3}{(x^2-4)^2}=dfrac{x^5-8x^3+32x}{(x^2-4)^2}

Вас заинтересует