• Предмет: Алгебра
  • Автор: Данич145
  • Вопрос задан 8 лет назад

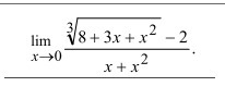
Вычислить пределы функций

Приложения:

Ответы

Ответ дал: antonovm
0

///////////////////////////////////////////////////////////

Приложения:
Вас заинтересует