• Предмет: Алгебра
  • Автор: Данич145
  • Вопрос задан 8 лет назад

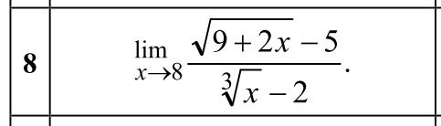
Вычислить пределы функций

Приложения:

Ответы

Ответ дал: hote
0

displaystyle lim_{x to 8} frac{sqrt{9+2x}-5}{sqrt[3]{x}-2}=|*frac{(sqrt[3]{x^2}+2sqrt[3]{x}+4)(sqrt{9+2x}+5)}{(sqrt[3]{x^2}+2sqrt[3]{x}+4)(sqrt{9+2x}+5)}|=\\ lim_{x to 8} frac{((sqrt{9+2x})^2-25)*(sqrt[3]{x^2}+2sqrt[3]{x}+4)}{(sqrt[3]{x^3}-8)(sqrt{9+2x}+5)}=\\= lim_{x to 8}frac{(2x-16)(sqrt[3]{x^2}+2sqrt[3]{x}+4)}{(x-8)(sqrt{9+2x}+5)}=\\= lim_{x to 8} frac{2(sqrt[3]{x^2}+2sqrt[3]{x}+4)}{sqrt{9+2x}+5}=frac{2(sqrt[3]{8^2}+2sqrt[3]{8}+4)}{(sqrt{9+2*8}+5)}=

displaystyle =frac{2*(4+4+4)}{5+5}=frac{2*12}{10}=frac{12}{5}

Вас заинтересует