• Предмет: Алгебра
  • Автор: lizavarygina
  • Вопрос задан 8 лет назад

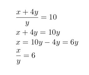
Известно, чтоfrac{x+4y}{y}=10. Найдите значение выражения: frac{x}{y}.

Ответы

Ответ дал: genius20
0

..................................

Приложения:
Вас заинтересует