• Предмет: Математика
  • Автор: VikaMeow17
  • Вопрос задан 8 лет назад

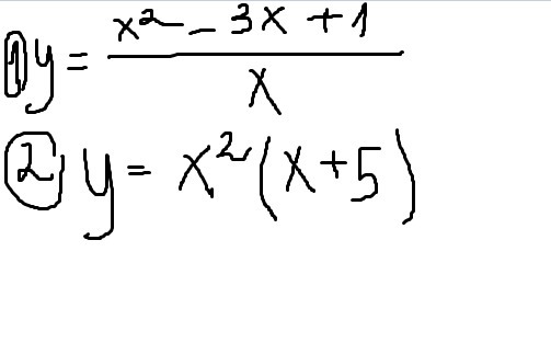
Задание найти дифференциал
Прошу помочь,математика для меня этой тихий ужас...

Приложения:

Ответы

Ответ дал: vlad5748
0

Ответ:


Пошаговое объяснение:frac{dy}{dx} =(y)'dx\\1.) y'=(frac{x^{2} -3x+1}{x} )'=(x-3+frac{1}{x} )'=1-frac{1}{x^2}\frac{dy}{dx}=(1-frac{1}{x^2})dx\2.) y'=[x^2(x+5)]'=(x^2)'(x+5)+x^2(x+5)'=2x(x+5)+x^2*1=3x^2+10x\frac{dy}{dx}=(3x^2+10x)dx

Ответ дал: VikaMeow17
0
большое человеческое спасибо
Вас заинтересует