Ответы
Ответ дал:
0
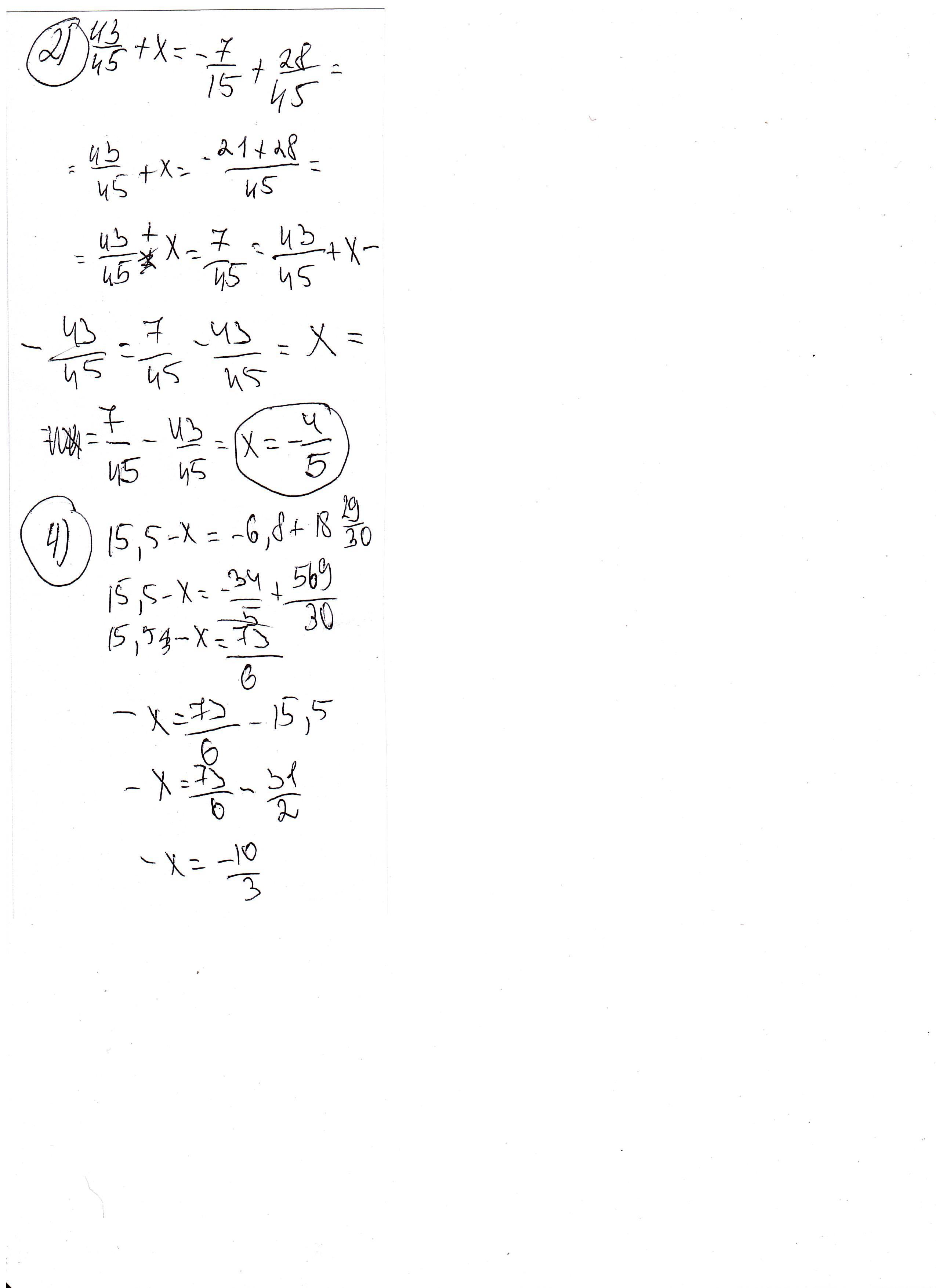
2 уравнения на фотке
Приложения:

Ответ дал:
0
Ответ:
2. х = -7/15+28/45-43/45
х = -7/15+(-1/15)
х = -4/5
4. -х = 6,8+18 29/30 -15,5
-х = 18 29/30 - 8,7
х = -10 4/5
Вас заинтересует
2 года назад
3 года назад
3 года назад
9 лет назад
9 лет назад
9 лет назад