• Предмет: Алгебра
  • Автор: zhizhinandrej2003
  • Вопрос задан 8 лет назад

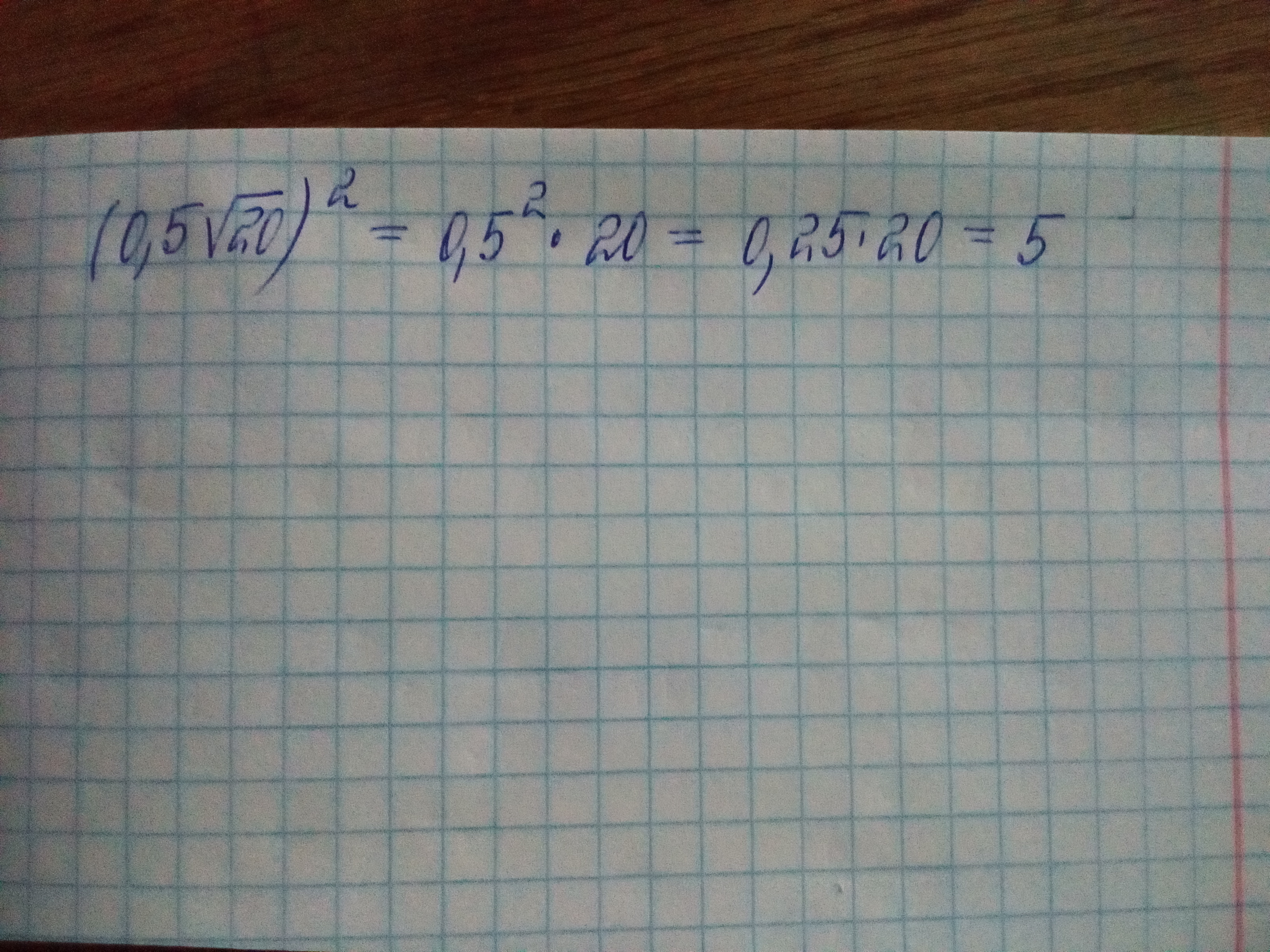
Вычислите:
(0,5 корень 20)^2

Ответы

Ответ дал: m11m
0

!!!!!!!!!!!!!!!!!!!!!!!!!!

Приложения:
Ответ дал: psbebi
0
Ответ:(0.5×2корень5)^2
корень5^2
5
Приложения:
Вас заинтересует