• Предмет: Алгебра
  • Автор: stfuscum
  • Вопрос задан 8 лет назад

Решите пожалуйста,даю 15 баллов

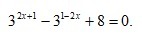
Приложения:

Ответы

Ответ дал: qwerty648839
0
Все в изображении. Надеюсь, что помогла
Ответ дал: qwerty648839
0
АааАаааАаАааааААААА
Ответ дал: qwerty648839
0
Чтр за
Ответ дал: qwerty648839
0
3^2х *3-3*3^-2х +8=0
3 ^2х *3-3*1/3^2х +8=0
t*3-3*1/t +8=0
t=1/3
t=-3
x=-1/2
Вас заинтересует