• Предмет: Математика
  • Автор: ARproVL
  • Вопрос задан 8 лет назад

Помогите срочно решить уравнение!

Приложения:

Ответы

Ответ дал: krolikzajcev
0

Ответ:

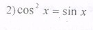
1-sin^2x=sin x\sin^2x+sin x-1=0\D=5\sin x=frac{-1+sqrt{5} }{2} \\x=(-1)^k * arcsinfrac{-1+sqrt{5} }{2}+pi k\\ sin x=frac{-1-sqrt{5} }{2}

нет решения.


Вас заинтересует