• Предмет: Алгебра
  • Автор: mingyuchan
  • Вопрос задан 8 лет назад

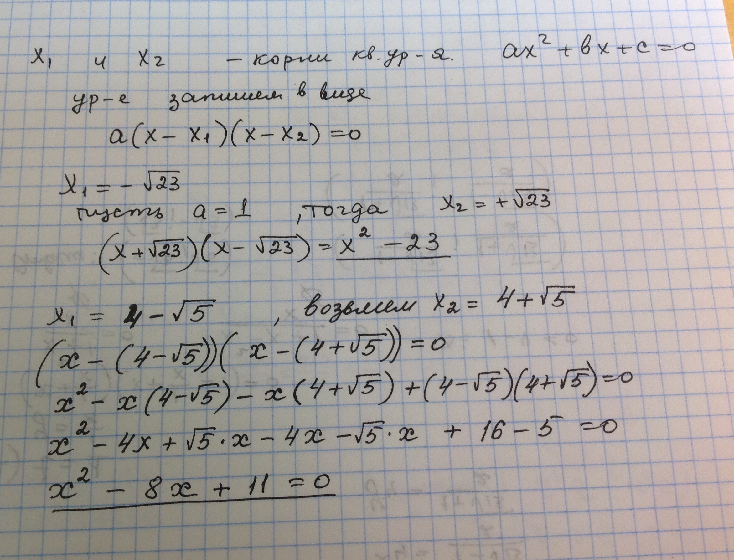
Составьте квадратное уравнение с рациональными коэффициентами, один из корней которого равен:

1) -√23

2) 4 - √5

Заранее спасибо!

Ответы

Ответ дал: maksimcat
0

Ответ на фото////////////

Приложения:
Ответ дал: maksimcat
0
Очень интересно!
Ответ дал: nastya2003151777
0
Ты напишешь?
Ответ дал: nastya2003151777
0
очень нужно
Ответ дал: nastya2003151777
0
пожалуйста!!
Ответ дал: albertrieben
0
https://znanija.com/task/30717295?
Вас заинтересует