• Предмет: Математика
  • Автор: FanatMatematikii
  • Вопрос задан 8 лет назад

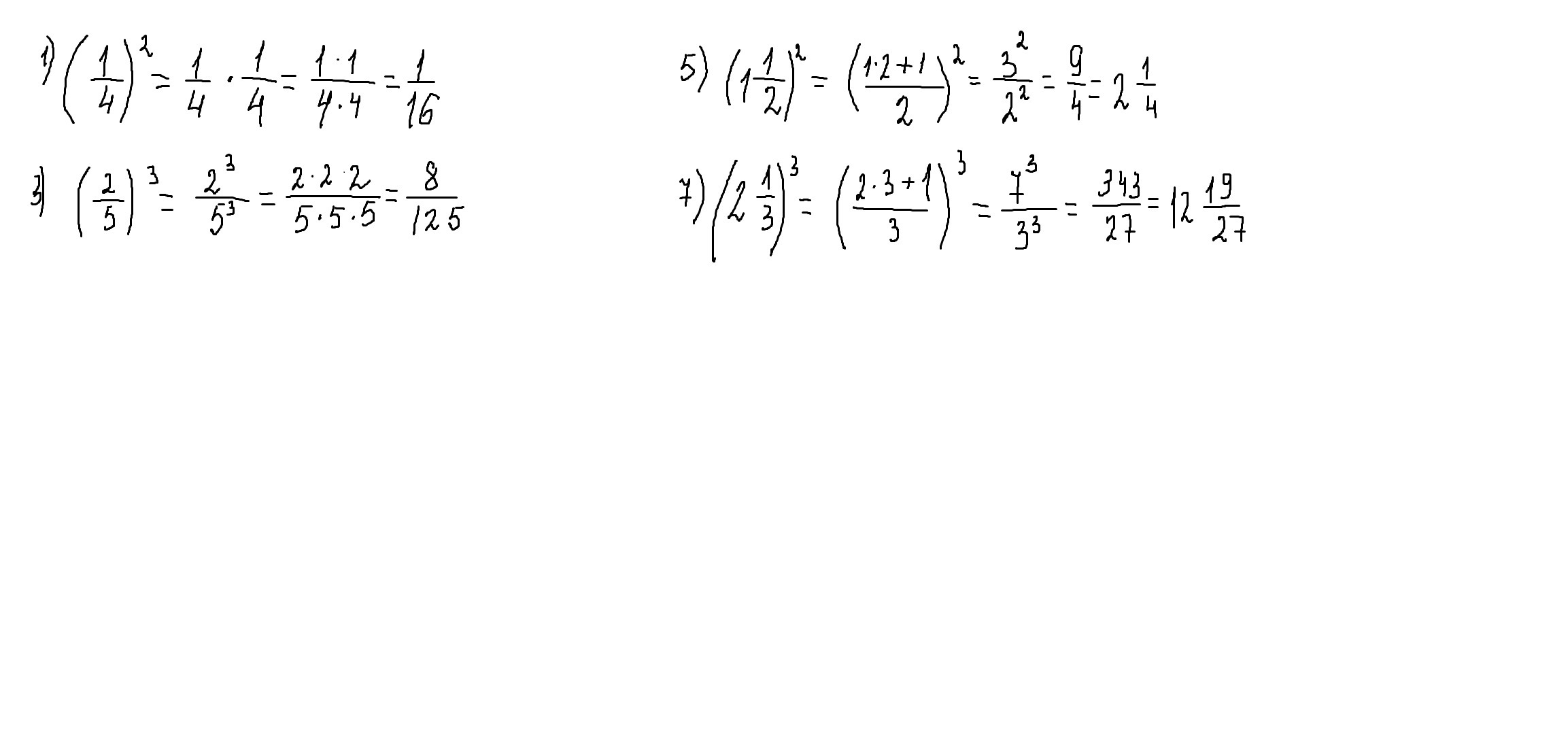
Математика 5 класс Номер 510) 1) (1/4)² 3) (2/5)³ 5) (1 1/2)² 7) (2 1/3)³

Помогите срочно!

Ответы

Ответ дал: parus77
0

Ответ:

решение смотри внизу



Приложения:
Ответ дал: FanatMatematikii
0
Спасибо, вы очень помогли мне!
Ответ дал: parus77
0
пожалуйста.
Вас заинтересует