• Предмет: Алгебра
  • Автор: MORANA17
  • Вопрос задан 8 лет назад

Пожалуйста, решите неравенства:

Приложения:

Ответы

Ответ дал: Leylamamedova1004
0
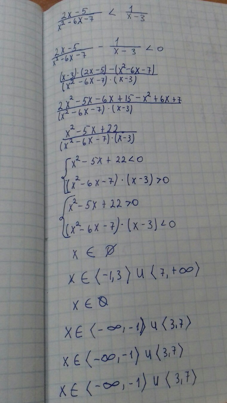
вот и решение примера
Приложения:
Ответ дал: MORANA17
0
А можете и второе?
Ответ дал: Leylamamedova1004
0
я только первое смогла советую вам зайти в photomath там всё есть скачайте это приложение
Вас заинтересует