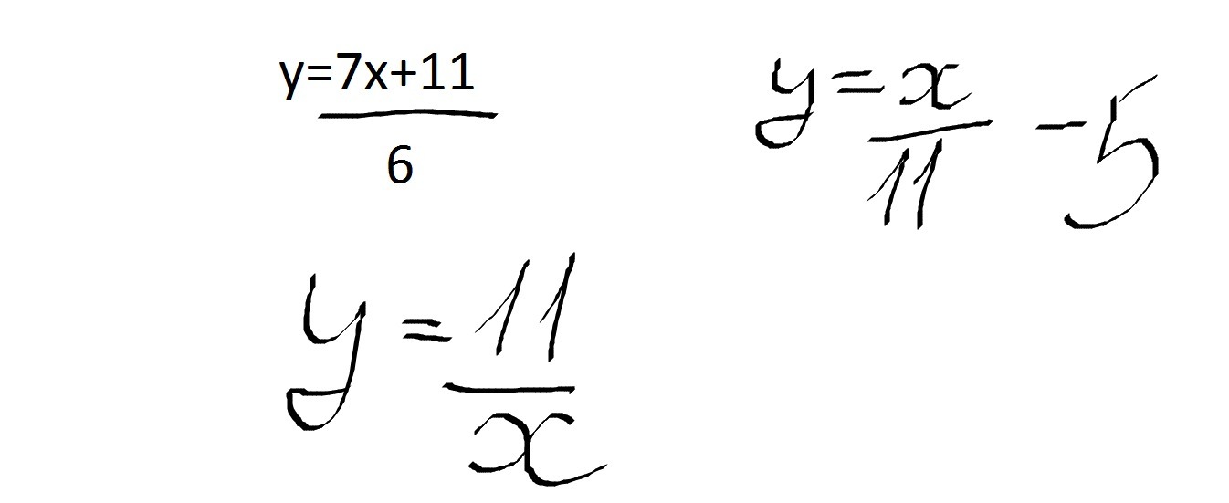
какие из функций являются линейными
y=11
y=-5x+41
y=11x в квадрате - во второй степени -5
y=-5x в кубе - в третей степени + 11
y=
Приложения:

Ответы
Ответ дал:
0
первое и последнее не являются линейными уровнениями
Вас заинтересует
2 года назад
3 года назад
9 лет назад
9 лет назад
9 лет назад