Ответы
Ответ дал:
0
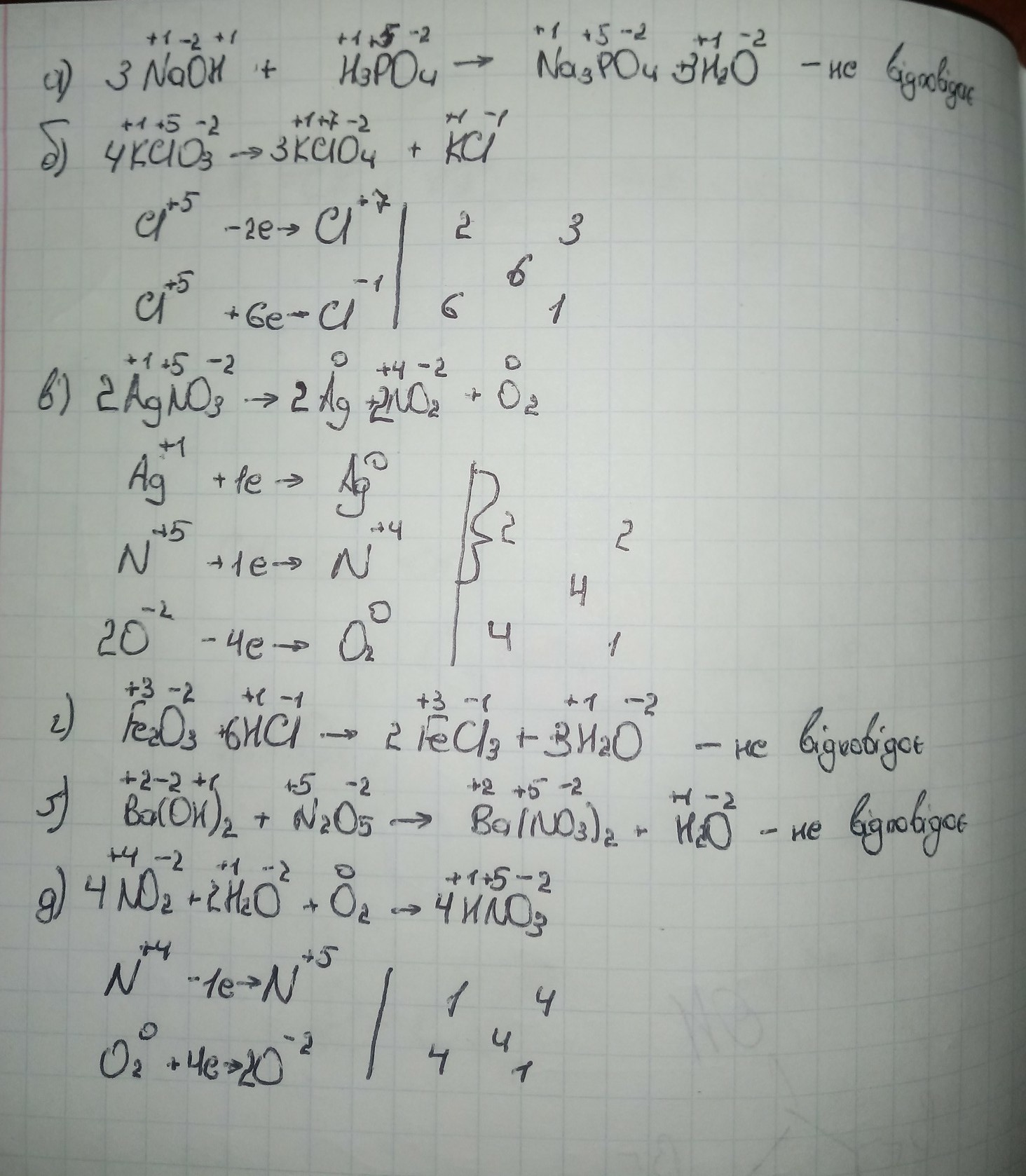
Окисно-відновна реакція - це реакція, при якій елементи змінюють свій ступінь окиснення.
У реакціях а) г) ґ), елементи не змінюють свій ступінь окиснення, отже вони не відповідають окисно-відновним реакціям
У реакціях а) г) ґ), елементи не змінюють свій ступінь окиснення, отже вони не відповідають окисно-відновним реакціям
Приложения:
Ответ дал:
0
дякую!
Ответ дал:
0
Ага)
Ответ дал:
0
Смарт
Ответ дал:
0
ти є?
Вас заинтересует
2 года назад
2 года назад
3 года назад
3 года назад
9 лет назад
9 лет назад
10 лет назад