• Предмет: Алгебра
  • Автор: pomohcnica
  • Вопрос задан 8 лет назад

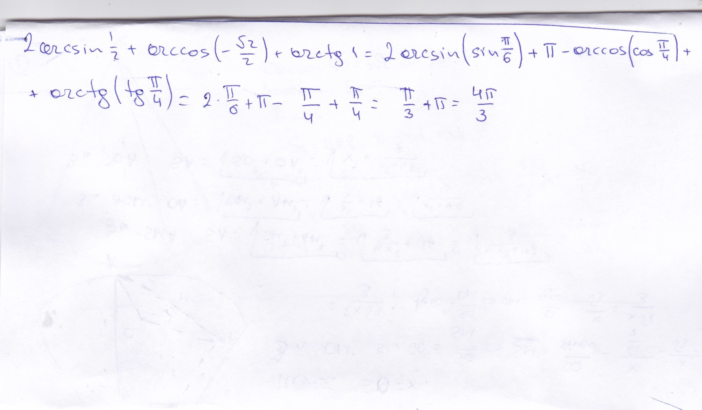
2arcsin1/2+arccos(-√2/2)+arctg1

Ответы

Ответ дал: matematuko81
0

qqqqqqqqqqqqqqqqqqqqqqqqq

Приложения:
Вас заинтересует