• Предмет: Алгебра
  • Автор: hetaichin
  • Вопрос задан 8 лет назад

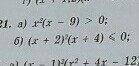
решите неравенства пожайлуста

Приложения:

Ответы

Ответ дал: gbudnik
0

1.) от 9 до плюс бесконечности; 0.

2.) от минус бесконечности до -4; 2.


Вас заинтересует