Ответы
Ответ дал:
0
только в смог найти
Приложения:

Ответ дал:
0
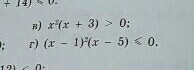
в) х^2 = 0 или х+3=0
х=0 или х= -3
ответ: (-∞; -3)︶(4;+∞)
г) (х-1)^2=0 или х-5=0
х=1 или х=5
ответ:[1:5]
Приложения:

Ответ дал:
0
ответ: (-∞; -3)︶(0;+∞)
Вас заинтересует
2 года назад
3 года назад
9 лет назад
9 лет назад
9 лет назад
9 лет назад