• Предмет: Геометрия
  • Автор: Ulyanat678
  • Вопрос задан 8 лет назад

Помогите решить!
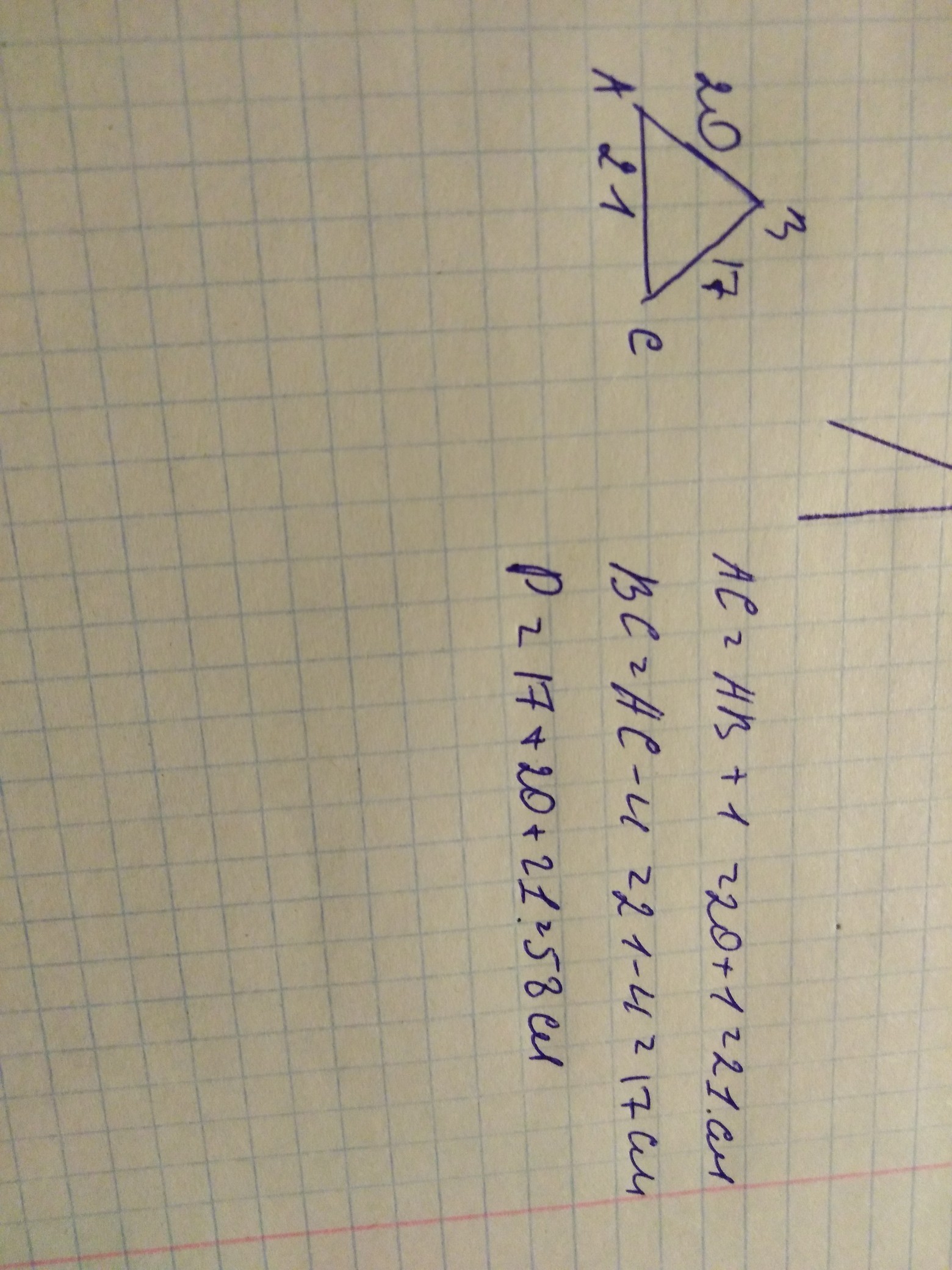
Сторона AB треугольника ABC равна 20 см, сторона AC на 1 см больше стороны AB,
а сторона BC на 4 см меньше стороны AC.
Найдите периметр треугольника ABC.

Ответы

Ответ дал: annapogorelova2542
0
На фото всё решение. ✳️✳️✳️✳️✳️✳️✳️
Приложения:
Вас заинтересует