Помогите решить неравенство, пожалуйста. Если можно, то желательно с объяснением.(неравенство на фото)
Приложения:

Ответы
Ответ дал:
0
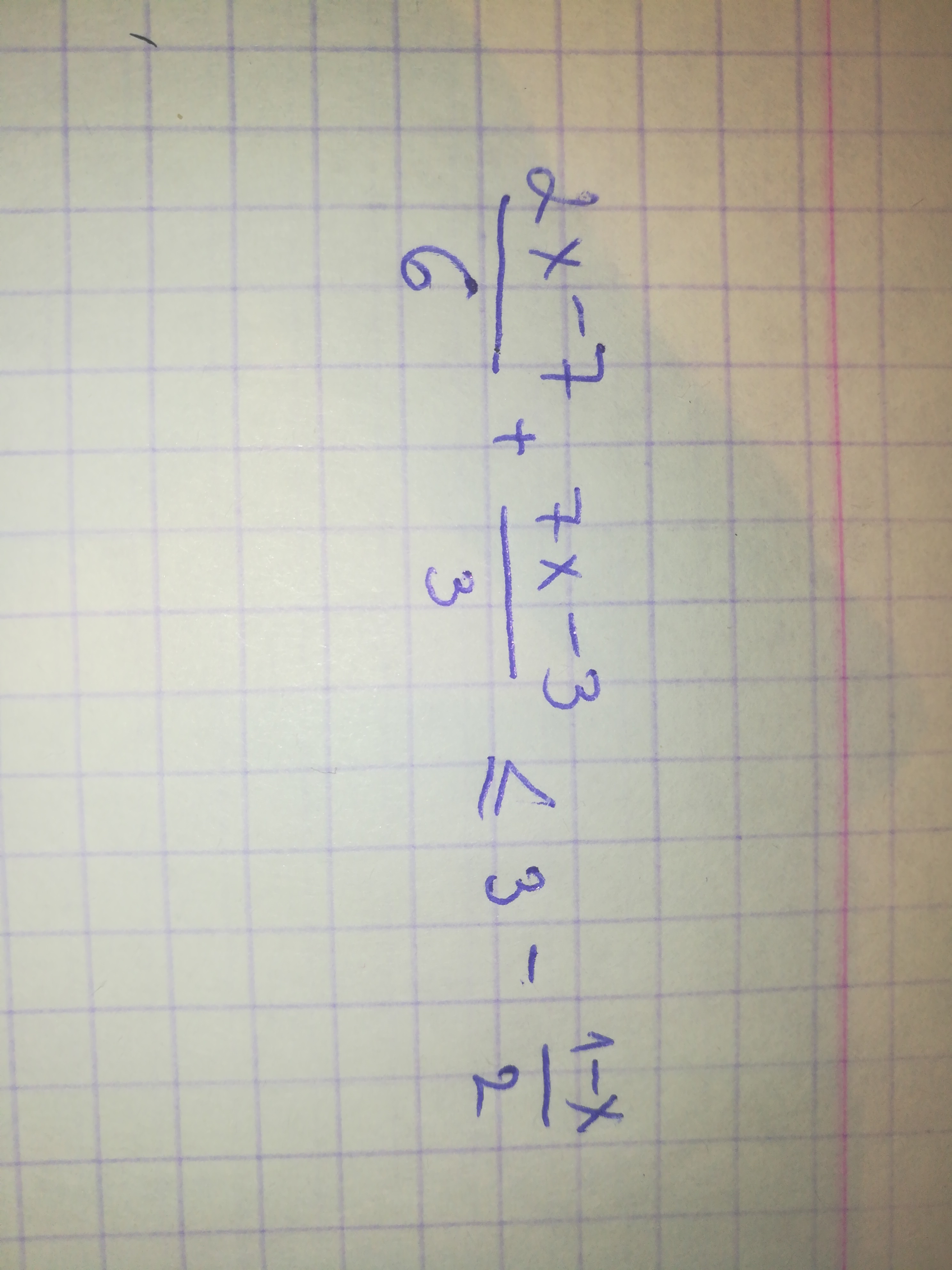
(2х - 7)/6 + (7х - 3)/3 ≤ 3 - (1 - х)/2
2х - 7 + 2 · (7х - 3) ≤ 3 · 6 - 3 · (1 - х)
2х - 7 + 14х - 6 ≤ 18 - 3 + 3х
16х - 13 ≤ 15 + 3х
16х - 3х ≤ 15 + 13
13х ≤ 28
х ≤ 28/13
х ≤ 2цел 2/13
Вас заинтересует
9 лет назад
9 лет назад
9 лет назад
9 лет назад