• Предмет: Математика
  • Автор: sopha56
  • Вопрос задан 8 лет назад

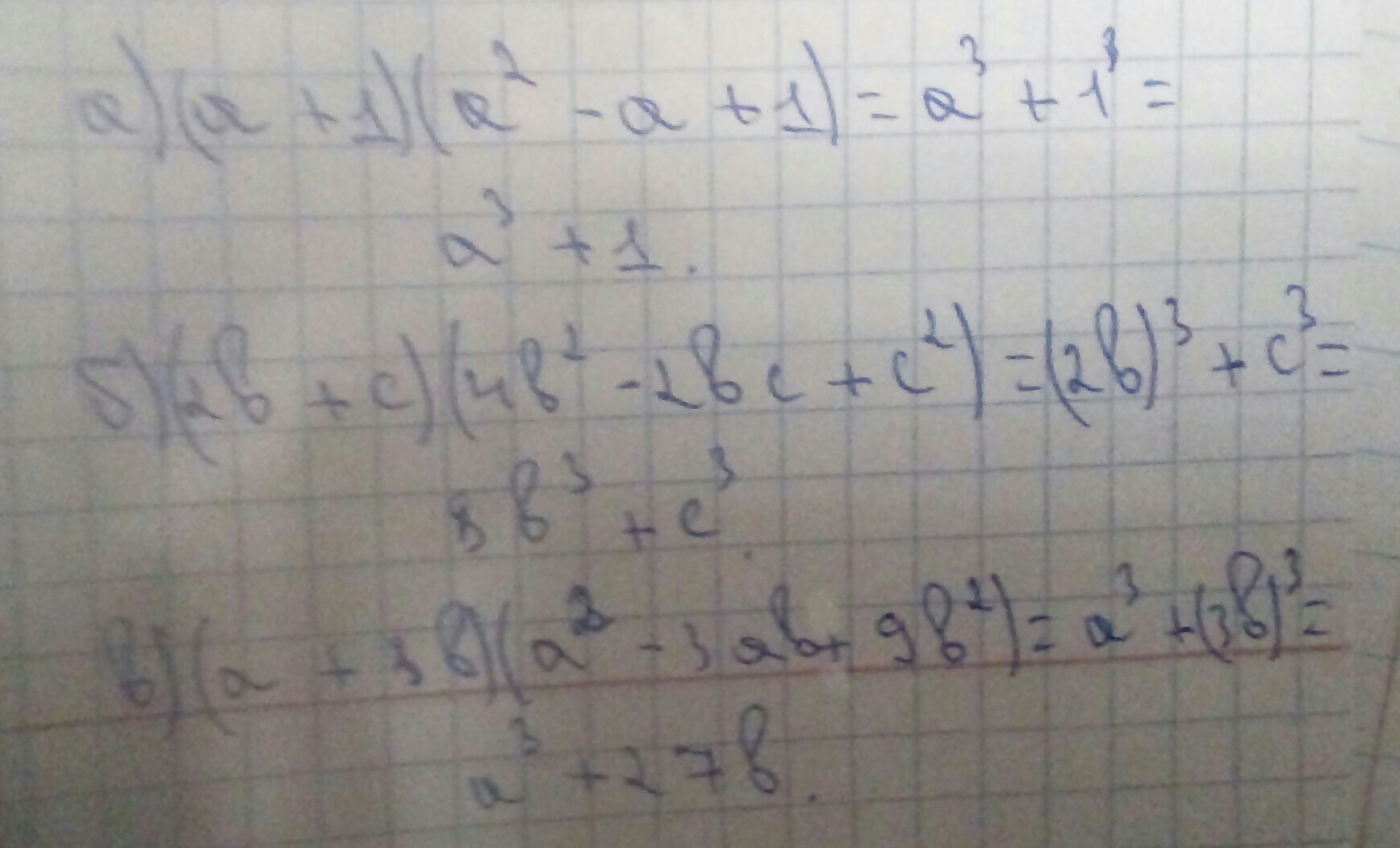
Очень срочно!!!! Решите все примеры!!!!

Приложения:

Ответы

Ответ дал: Mustafini0305
0
вот и ответ!!!!!!!!!!
Приложения:
Ответ дал: sopha56
0
хаахахппхаххаахпх
Ответ дал: sopha56
0
)))
Ответ дал: Mustafini0305
0
мммммммда
Ответ дал: sopha56
0
стати спасибо за решение)))
Ответ дал: Mustafini0305
0
незошто
Вас заинтересует