Ответы
Ответ дал:
0
при умножении степени прибавляются
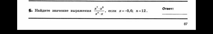
х^7 + х^9 = х^16
-----------------------
х^n * x = x^n+1
подставляем значение х и n
x^n + 1 = x^12+1 = х^13
(-0.6)^16 : (-0.6)^13 = (-0.6)^16-13 = (-0.6)^3 = -0.216
Ответ: -0.216 (или же -27/125, одно и тоже)
х^7 + х^9 = х^16
-----------------------
х^n * x = x^n+1
подставляем значение х и n
x^n + 1 = x^12+1 = х^13
(-0.6)^16 : (-0.6)^13 = (-0.6)^16-13 = (-0.6)^3 = -0.216
Ответ: -0.216 (или же -27/125, одно и тоже)
Вас заинтересует
2 года назад
2 года назад
3 года назад
3 года назад
9 лет назад
10 лет назад
10 лет назад