• Предмет: Математика
  • Автор: hugohekmatyar
  • Вопрос задан 8 лет назад

Помогите решить, оч надо

Приложения:

Ответы

Ответ дал: OknoLombarda
0

Ответ:

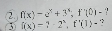
$2.f'(0)approx2,1$

$3.f'(1)approx9,8$

Пошаговое объяснение:

$2.f'(x)=e^x+3^xcdotln{3}$

$f'(0)=e^0+3^0cdotln{3}approx2,1$

$3.f'(x)=7cdot2^xcdotln{2}$

$f'(1)=7cdot2^1cdotln(2)approx9,8$

Вас заинтересует