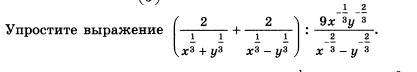
Упростите выражение , буду очень признателен.
Выплачу 20 рублей на qiwi кто решит. (Ответ: -4/9)
Приложения:

Ответы
Ответ дал:
0
Вас заинтересует
2 года назад
2 года назад
3 года назад
9 лет назад
9 лет назад