• Предмет: Алгебра
  • Автор: Аноним
  • Вопрос задан 8 лет назад

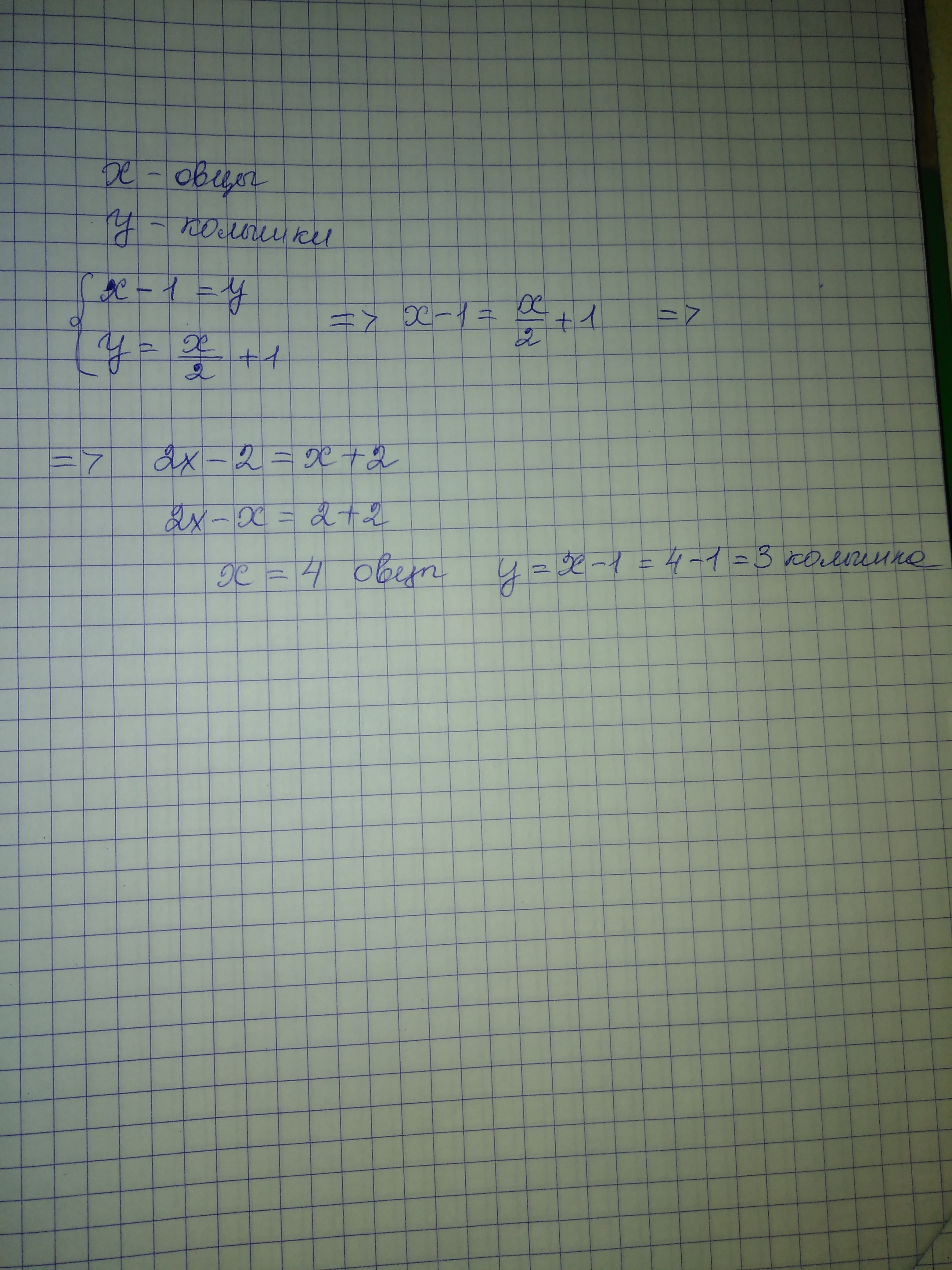
пастушок пригнал на поляну овец. НА поляне были колышки. Если к каждому колышку он привяжет по овце, то для одной колышка не хватит. Если же к каждому колышку он привяжет по две овцы, то один колышек останется свободным. Сколько овец пригнал пастушок?

Ответы

Ответ дал: MizoriesKun
0

Смотри.................

Приложения:
Ответ дал: Аноним
0
https://znanija.com/task/30742598
Вас заинтересует