• Предмет: Информатика
  • Автор: kirillpopov19
  • Вопрос задан 8 лет назад

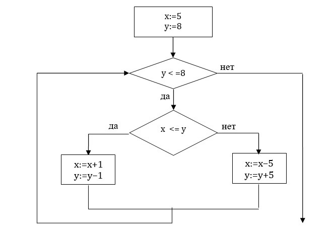
Помогите написать программу на Паскале по данной блок схеме, пожалуйста

Приложения:

Ответы

Ответ дал: 13nisa13
0

var x,y:integer;

begin

x:=5;

y:=8;

while y<=8 do

if x<=y then

begin

x:=x+1;

y:=y-1

end

else

begin

x:=x-5;

y:=y+5

end;

writeln (x,' ',y)//этой строки на схеме нет

end.

Ответ дал: kirillpopov19
0
А что делает эта строчк: writeln (x,' ',y,) ?
Ответ дал: 13nisa13
0
Выводит окончательные значения x и y
Вас заинтересует