• Предмет: Алгебра
  • Автор: well67
  • Вопрос задан 8 лет назад

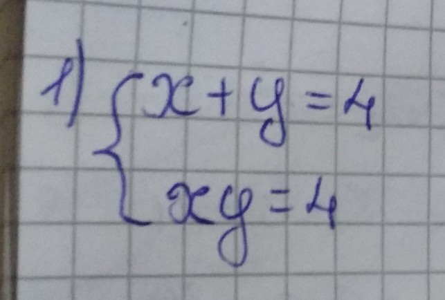
как это решается !!!???

Приложения:

Ответы

Ответ дал: hello93
0

left { {{x+y=4} atop {xy=4}} right. ; left { {{x=4-y} atop {xy=4}} right. \ (2-y)y=4 \2y-y^2=4 \y^2-2y+4=0 \ (y-2)^2=0 \y-2=0 \y=2 \x=4-2=2 \(x, y)=(2, 2)

Вас заинтересует