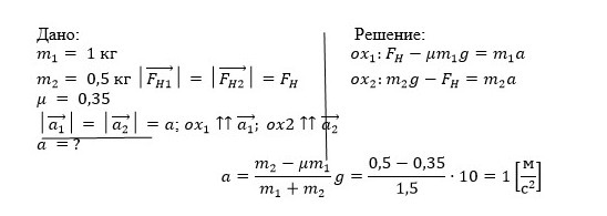
брусок массой 1 килограмм которому привязана нить перекинутая через неподвижный блок ко второму концу нити подвешен груз массой 0,5 кг.Поределить ускорение с которыми движется брусок если коэф трения бруска о стол составляет 0,35
Ответы
Ответ дал:
0
Решение задачи в прикрепленном файле
Приложения:

Вас заинтересует
2 года назад
3 года назад
3 года назад
9 лет назад
9 лет назад
9 лет назад