Ответы
Ответ дал:
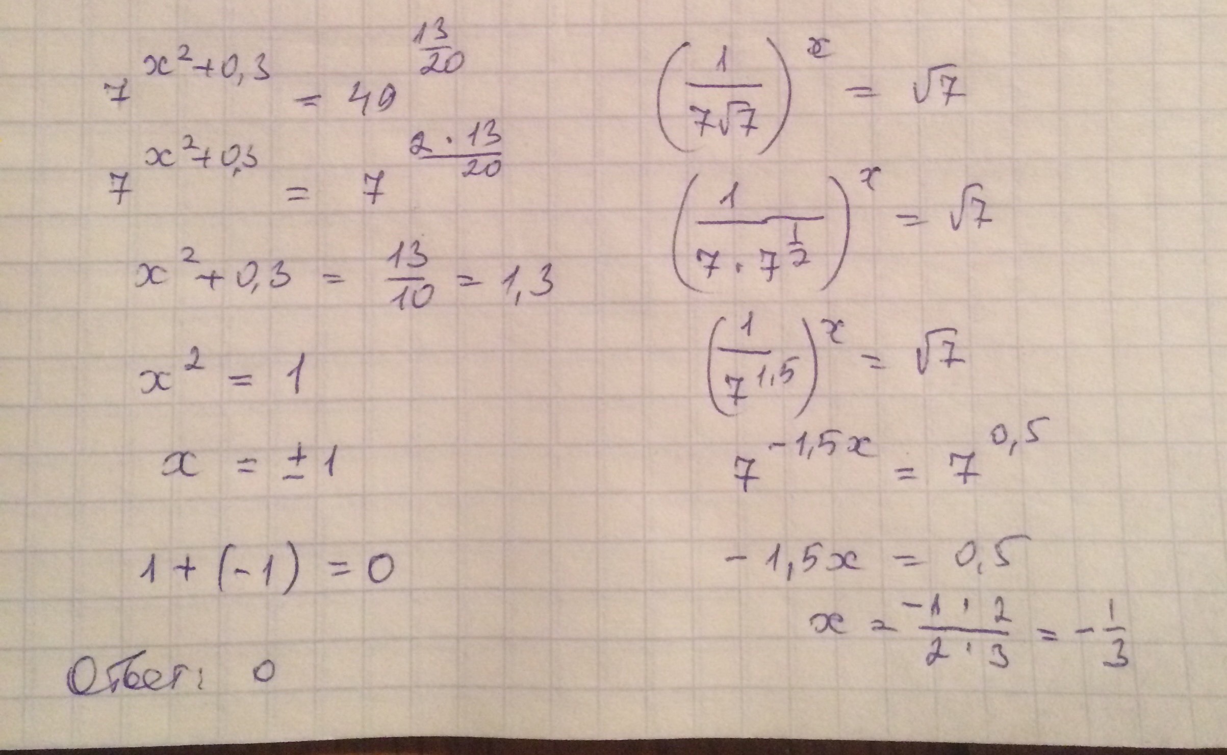
0
тут смысл сводится к тому, что если равны основания, то равны и показатели степени.
Приложения:

Вас заинтересует
2 года назад
2 года назад
3 года назад
9 лет назад
9 лет назад