Ответы
Ответ дал:
0
Ответ:
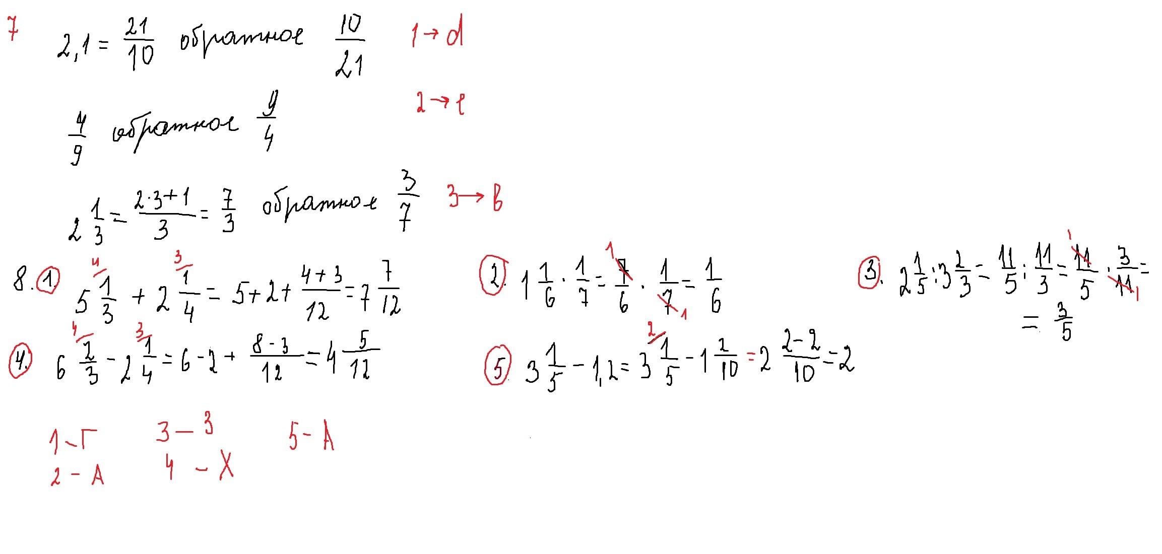
9 задания здесь нет,поэтому решила 7 и 8.В 8 задании по примерам получается название города Газха,но в интернете я нашла только город Газах. там 4 и 5 примеры надо поменять местами.
Приложения:

Вас заинтересует
2 года назад
2 года назад
3 года назад
3 года назад
9 лет назад