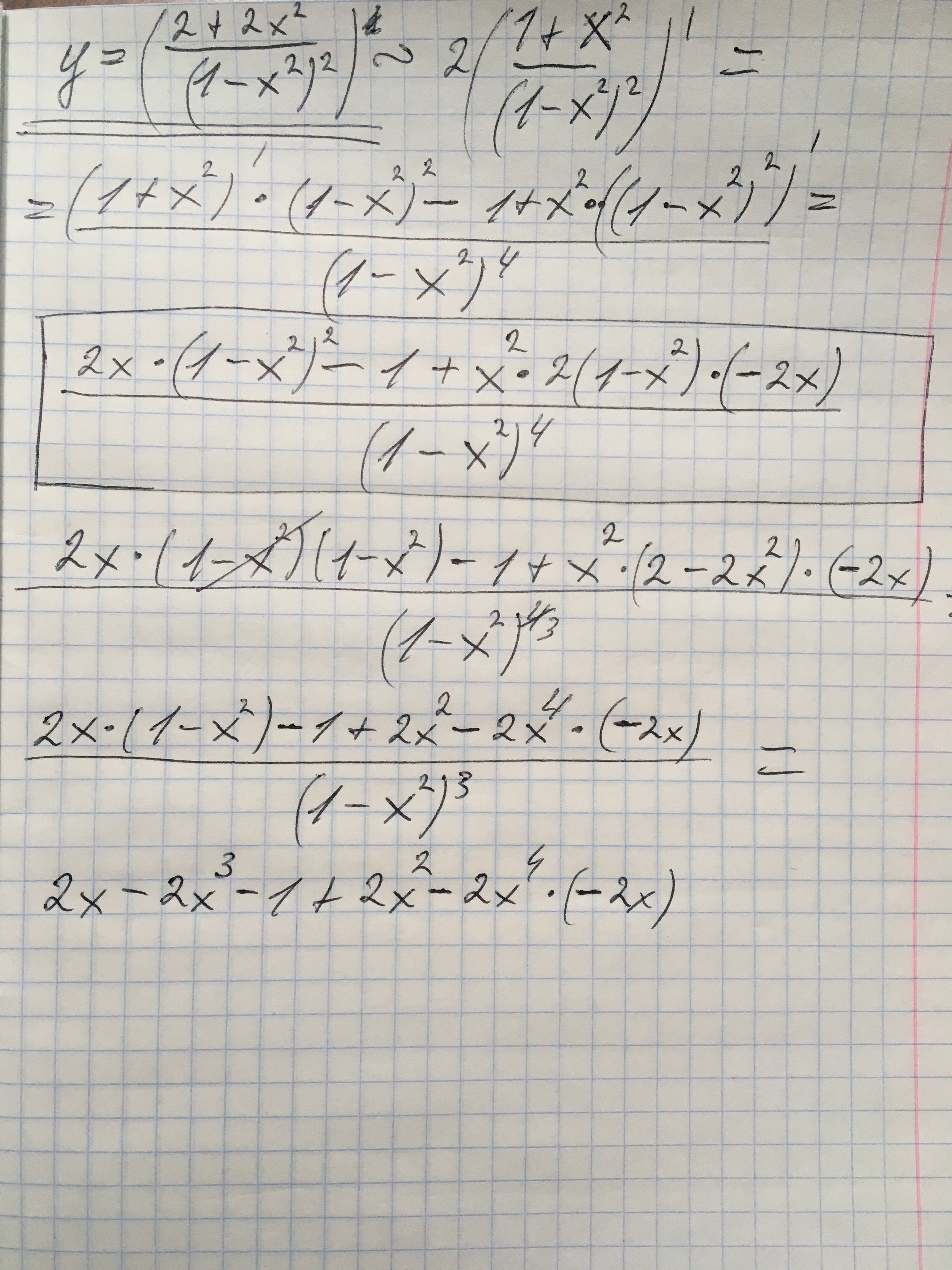
Не могу правильно преобразовать дробь при нахождении производной, обвел в прямоугольник действие после которого ничего не получается, в ответе должно получиться

Приложения:

Ответы
Ответ дал:
0
Смотри..................
Приложения:

Ответ дал:
0
..........................
Ответ дал:
0
........................................................................................................м
Ответ дал:
0
........................................................................................................
Ответ дал:
0
..........................
Ответ дал:
0
Что не так ?
Вас заинтересует
2 года назад
3 года назад
3 года назад
9 лет назад
9 лет назад
9 лет назад