• Предмет: Математика
  • Автор: zahyans
  • Вопрос задан 8 лет назад

Помогите пожалуйста с 1, 4 заданием! Математика, 10 класс

Приложения:

Ответы

Ответ дал: Аноним
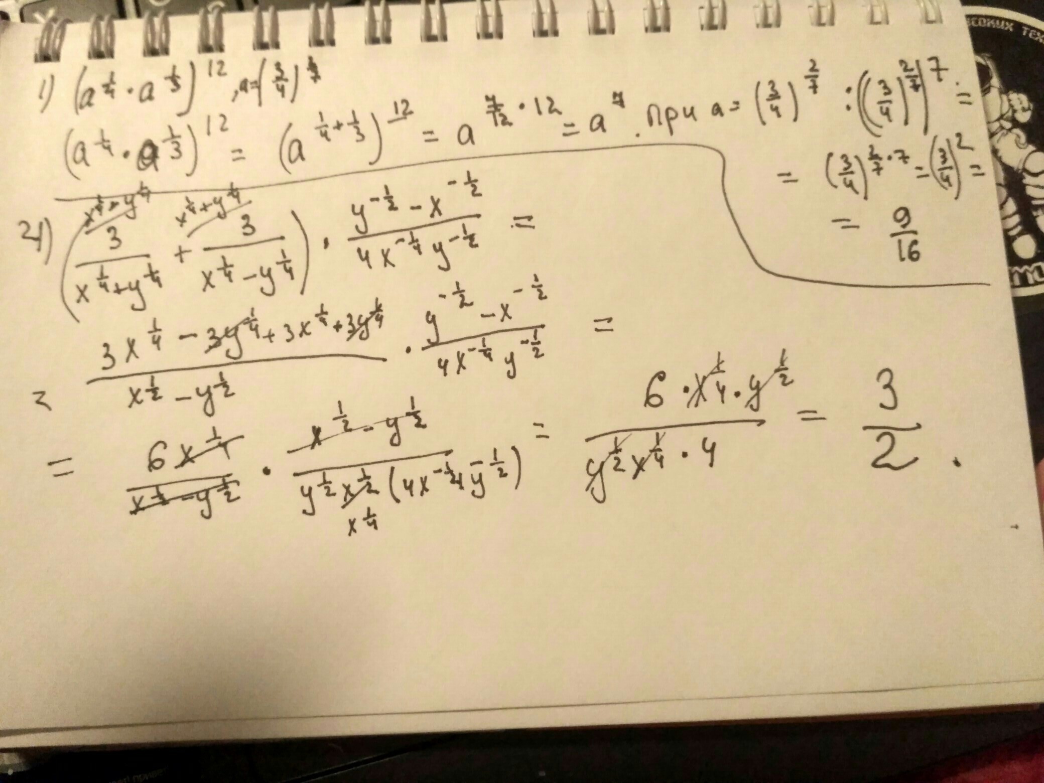
0
решение прилагается в фото
Приложения:
Ответ дал: Аноним
0
здесь
Ответ дал: zahyans
0
там ещё один вариант в вопросах (
Ответ дал: zahyans
0
там ещё один вариант в вопросах
Ответ дал: zahyans
0
ты можешь мне объяснить, как ты решал 4?
Ответ дал: Аноним
0
могу, но там же все расписано -_-
Вас заинтересует