• Предмет: Математика
  • Автор: danya6993
  • Вопрос задан 8 лет назад

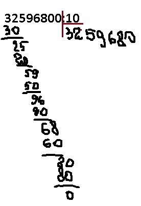
Встолбик
32596800:10

Ответы

Ответ дал: lakOR555
0

Ответ: 3 259 680

.................................

Приложения:
Вас заинтересует