• Предмет: Математика
  • Автор: Bazalaz25
  • Вопрос задан 8 лет назад

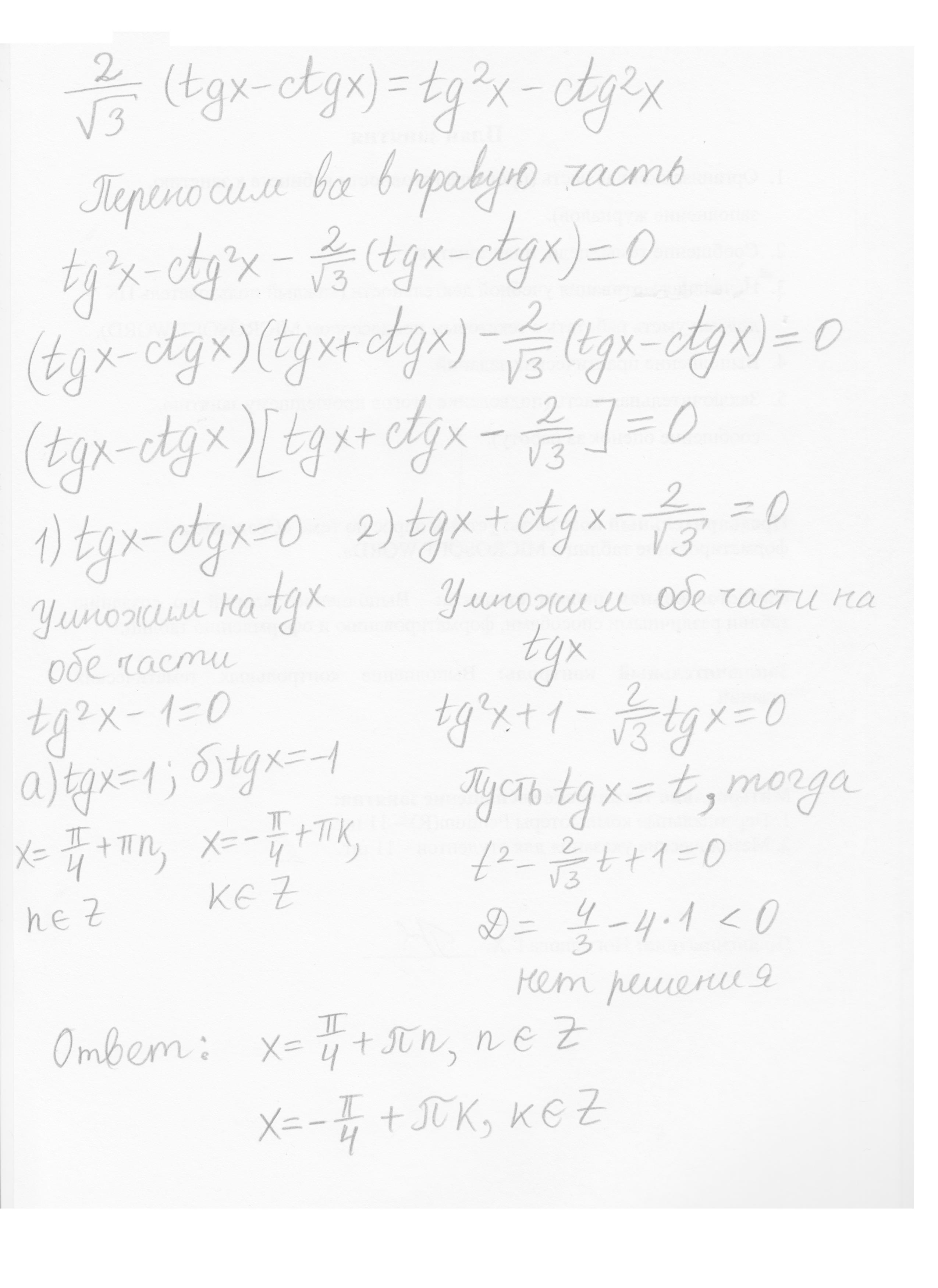
Тригонометрия , СРОЧНО Надо НАРОД !!!2/корень из 3*(tgx-ctgx)=tg^2x-ctg^2x

Ответы

Ответ дал: bearcab
0

Ответ:

x=frac{pi}{4}+pi*n,,,nin mathbb{Z}\x=-frac{pi}{4}+pi*k,,,kin mathbb{Z}

Пошаговое объяснение:

Решение в приложении

Приложения:
Вас заинтересует