Ответы
Ответ дал:
0
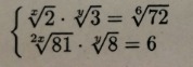
Записываем в виде степени. Представим 81 как 3^4, 8 как 2^3.
Разделим.
6 тоже разложим как произведение 2 на 3.
Получаем новую систему уравнений.
Приложения:

Вас заинтересует
2 года назад
3 года назад
3 года назад
9 лет назад
9 лет назад