• Предмет: Математика
  • Автор: Lilbaib20
  • Вопрос задан 8 лет назад

Решите уравнение помогите пожалуйста напишите проверку и решение пожалуйста

Приложения:

Ответы

Ответ дал: directioner110
0
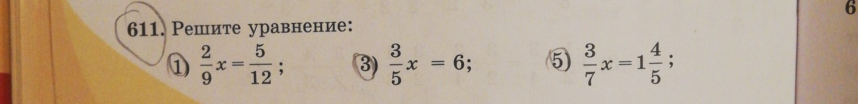
1)х=5/12*9/2
Х=5/19
3)х=6*5/3=30/3=10
5)х=9/5*7/3=21/5
Ответ дал: fanta2310
0

Ответ:


Пошаговое объяснение:

2/9х = 5/12

Х = 5/12 : 2/9

Х = 5/12 * 9/2

Х = 5/4 * 3/2

Х = 15/8

Проверка:

2/9 * 15/8 = 5/12

1/3 * 5/4 = 5/12

5/12 = 5/12

________________

3/5х = 6

Х = 6 : 3/5

Х = 6/1 * 5/3

Х = 2 * 5

Х = 10

Проверка:

3/5 * 10 = 6

30/5 = 6

6 = 6

______________

3/7х = 1 4/5

3/7х = 9/5

Х = 9/5 : 3/7

Х = 9/5 * 7/3

Х = 3/5 * 7/1

Х = 21/5 = 4 1/5

Проверка:

3/7 * 21/5 = 1 4/5

3/1 * 3/5 = 1 4/5

9/5 = 1 4/5

1 4/5 = 1 4/5

Вас заинтересует