• Предмет: Математика
  • Автор: anannie009
  • Вопрос задан 8 лет назад

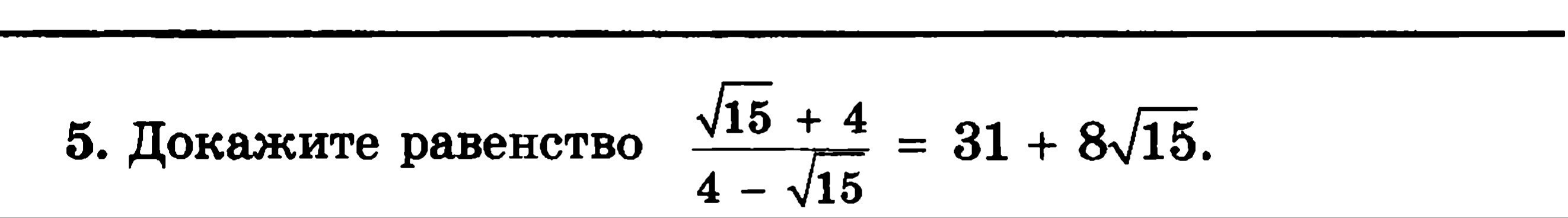
Письменно, пожалуйста.

Приложения:

Ответы

Ответ дал: hountybunter
0

Ответ:


Пошаговое объяснение:


Приложения:
Ответ дал: anannie009
0
спасибо, огромное
Ответ дал: anannie009
0
огромнейшее
Вас заинтересует