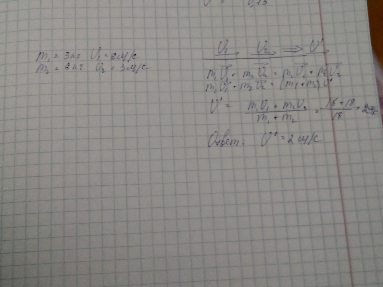
тележка массой 3 кг движущаяся со скоростью 6м/с сталкивается с тележкой массой 6кг движущейся в том же направлении со скоростью 3м/с и сцепляется с ней. Скорость обеих тележек после взаимодействия равна ?
Ответы
Ответ дал:
0
Там написано и дано и решение и рисунок
Приложения:

Вас заинтересует
2 года назад
3 года назад
3 года назад
9 лет назад
9 лет назад