Ответы
Ответ дал:
0
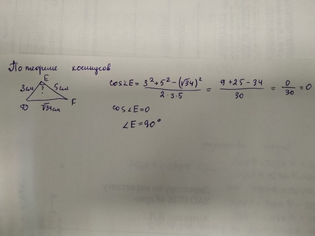
Смотрим на гипотенузу DF и пытаемся найти ее с помощью теоремы пифагора:
3²+5²=34
9+25=34
34=34
Из этого выясняем, что DEF - прямоугольный треугольник, и ∠E=90°
Ответ дал:
0
Смотри решение на фото
Приложения:

Вас заинтересует
2 года назад
3 года назад
3 года назад
9 лет назад
9 лет назад
9 лет назад
9 лет назад