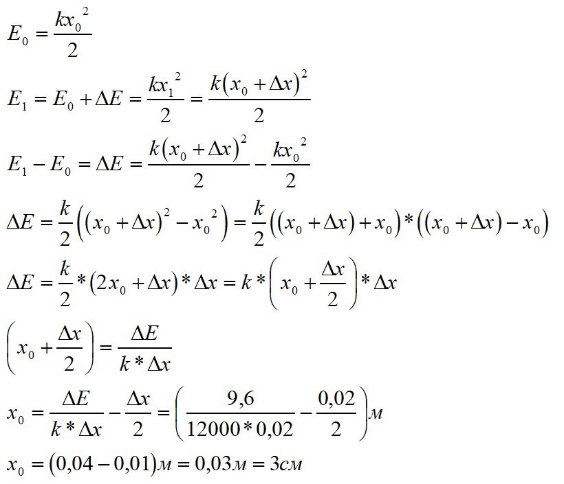
Пружина находится в сжатом состоянии. Чтобы сжать её еще на 2 см, необходимо выполнить работу 9,6 Дж. Найдите, на сколько сантиметров была сжата пружина изначально, если её жесткость составляет 12 кН/м. поснте
Ответы
Ответ дал:
0
3 см.....................
Приложения:

Ответ дал:
0
решение смотри во вложении
Приложения:

Вас заинтересует
2 года назад
3 года назад
3 года назад
9 лет назад
9 лет назад
9 лет назад