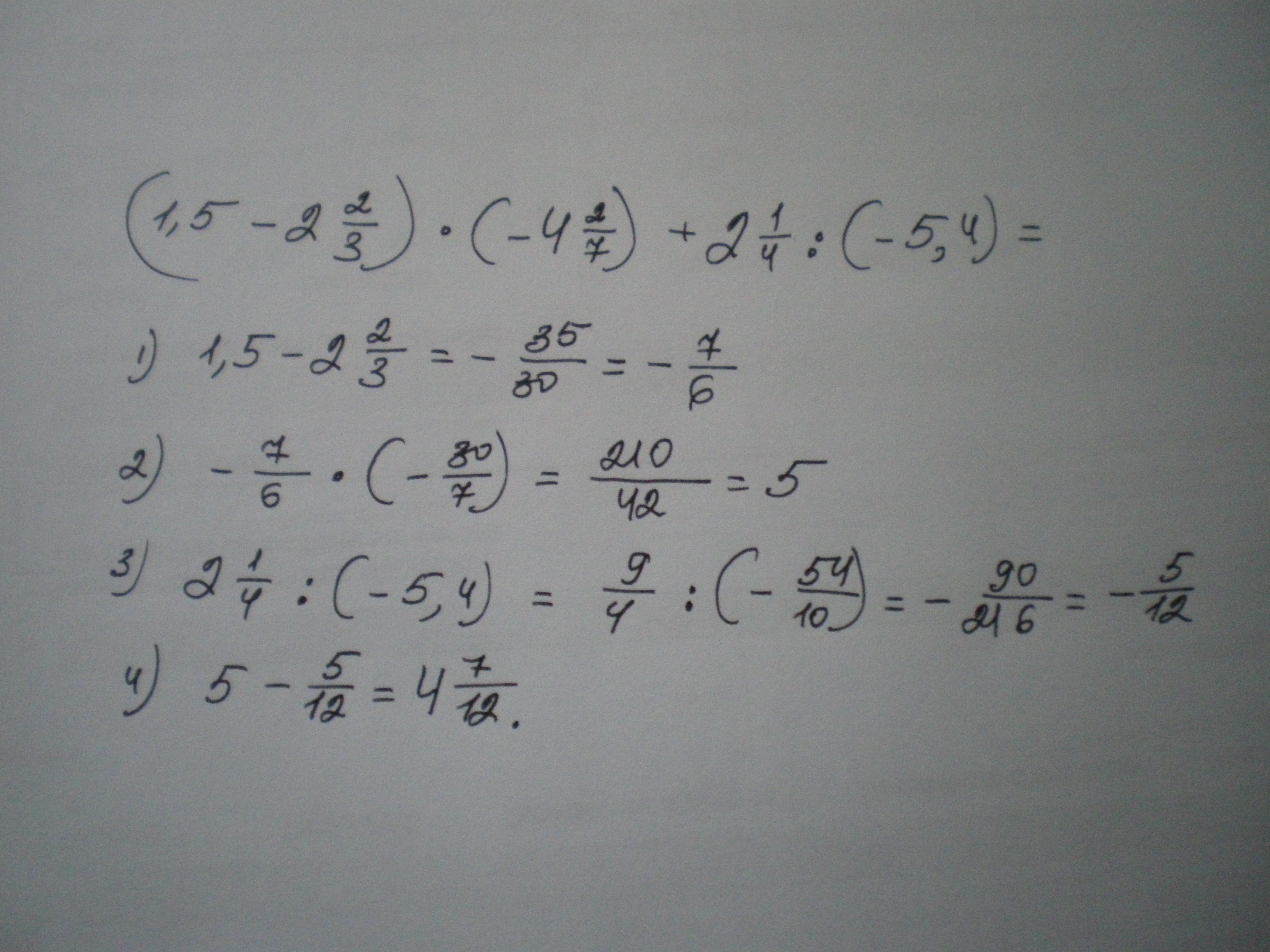
Решите пожалуйста по действиям
Ответ правельный 4целых 7/12
Осталось решить в СТОЛБИК!
Кто не знает не пишите! А то бан
Отдаю все свои баллы
Решите пожалуйста
СРОЧНО!!
Приложения:

Ответы
Ответ дал:
0
Ответ:
4 712
Пошаговое объяснение:
Приложения:

Вас заинтересует
2 года назад
2 года назад
3 года назад
3 года назад
9 лет назад
9 лет назад