Ответы
Ответ дал:
0
Ответ:
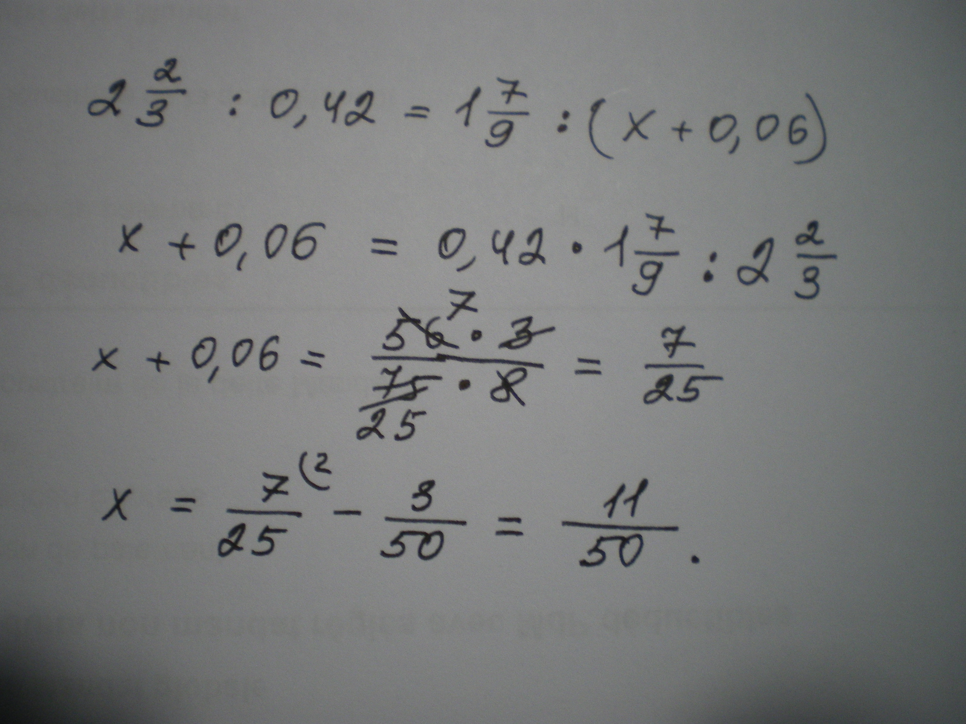
2²/₃:0,24=1⁷/₉:(х+0,06)
⁸/₃:²⁴/₁₀₀=¹⁶/₉:х+¹⁶/₉:⁶/₁₀₀
⁸/₃*¹⁰⁰/₂₄=¹⁶/₉ₓ+⁸⁰⁰/₂₇
после сокращения
¹⁰⁰/₉=¹⁶/₉ₓ+⁸⁰⁰/₂₇ | *9
100*х= 16+⁸⁰⁰/₃ | *3
300*х=48+800
300*х=848
х=⁸⁴⁸/₃₀₀
х=2⁶²/₇₅
Ответ дал:
0
Ответ:
х=1150
Пошаговое объяснение:
Приложения:

Вас заинтересует
2 года назад
2 года назад
3 года назад
3 года назад
9 лет назад
9 лет назад
9 лет назад