• Предмет: Математика
  • Автор: toriazh
  • Вопрос задан 8 лет назад

Здравствуйте, прошу помочь мне с дробными рациональными уравнениями.

Приложения:

Ответы

Ответ дал: Kordebay
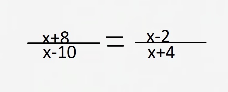
0

1) Правило: frac{a}{b} =frac{c}{d}, a*d=b*c Перемножаем: (x+8)(x+4)=(x-10)(x-2), x^{2} +12x+3x=x^{2} -12x+20. Решаем: 24x=-12, x=-frac{1}{2}

2) Умножаем каждую часть на x чтобы избавиться от дроби. =frac{120x}{x} =25x-x^{2} , 150=25x-x^{2}. Приводим к стандартному виду квадратного уравнения -x^{2} +25x-150=0. Решаем его: D=25, x_{1} = frac{-25+5}{2*(-1)}=10 , x_{2} =frac{-25-5}{2*(-1)}=15

3) Перемножением по правилу frac{a}{b} =frac{c}{d}, a*d=b*c. Перемножаем: (x^{2}-10 )(2-x)=(x-2)*3x, -x^{3} -x^{2} +16x-20=0

Пользуясь теоремой рациональных корней получаем: = (x-2)frac{x^{3} +x^{2} -16x+20}{x-2} Сокращаем и получается = -(x-2)(x-2)(x+5)=0, -(x-2)^{2} (x+5)=0 Одним из множителей должен быть 0. Поэтому x=2, x=-5.

После проверки в исходном выражении правильно только x=-5

Вас заинтересует