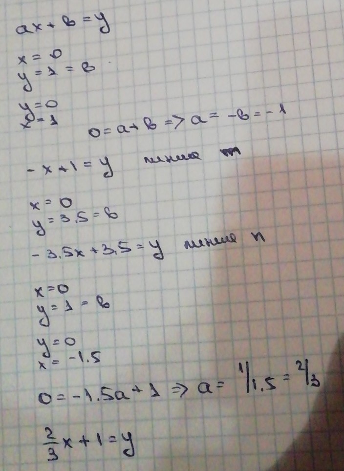
по рисунку 3.30 Напишите уравнения прямых m, n и k запишите их в виде линейного уравнения
Приложения:
Ответы
Ответ дал:
0
m - x+1=y
n - 3.5x=3.5=y
k 2x/3+1=y
n - 3.5x=3.5=y
k 2x/3+1=y
Приложения:
Вас заинтересует
2 года назад
2 года назад
3 года назад
3 года назад
9 лет назад
10 лет назад